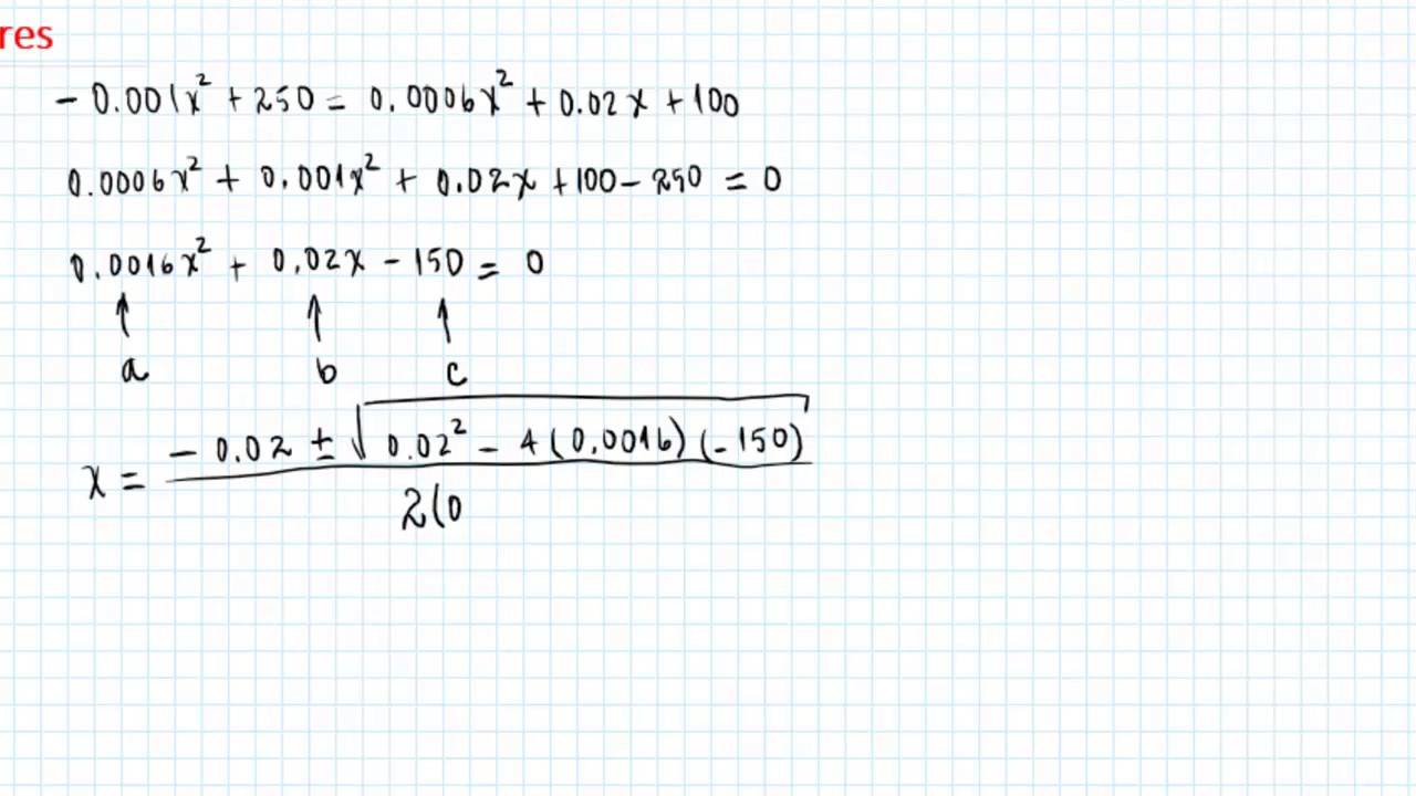
Exceso de consumidores y productores (Integral definida)Exceso de consumidores y productores (Integral definida) camera iphone 8 plus apk | |
| 9 Likes | 9 Dislikes |
| 1,266 views views | 2.75K followers |
| Education | Upload TimePublished on 27 Feb 2017 |
Exceso de consumidores y productores (Integral definida)Exceso de consumidores y productores (Integral definida) camera iphone 8 plus apk | |
| 9 Likes | 9 Dislikes |
| 1,266 views views | 2.75K followers |
| Education | Upload TimePublished on 27 Feb 2017 |
Không có nhận xét nào:
Đăng nhận xét